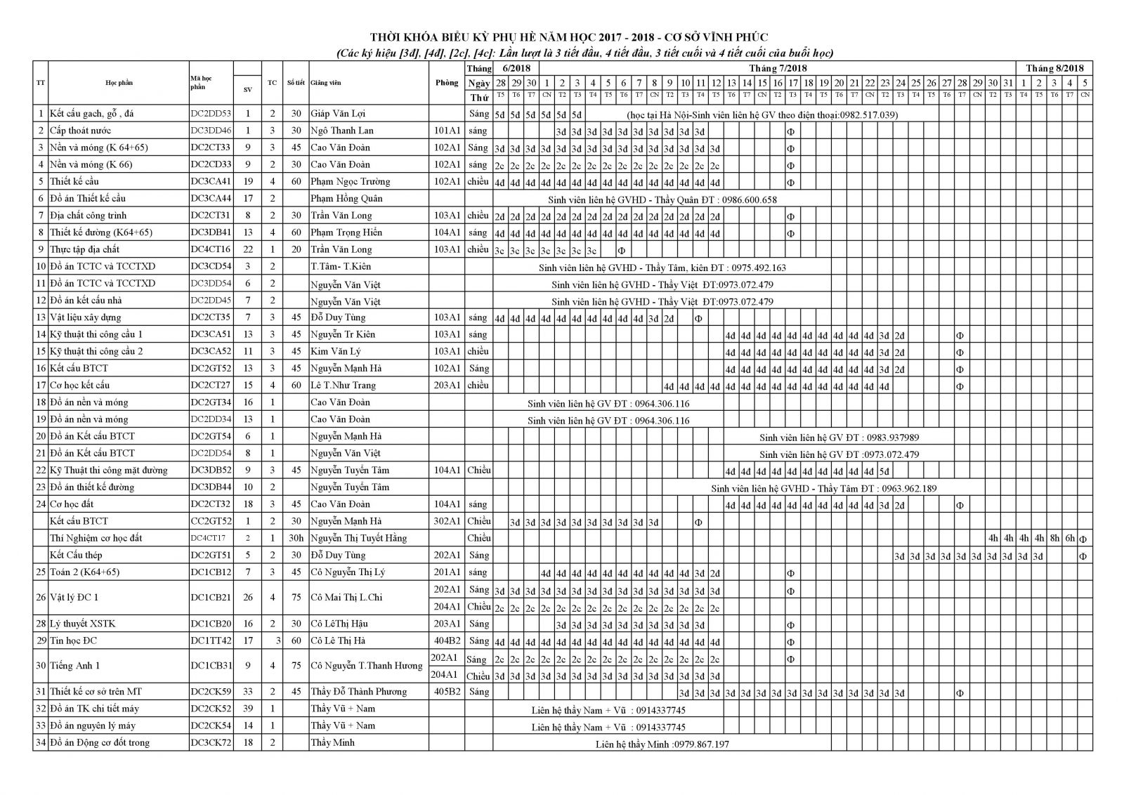
THỜI KHÓA BIỂU KỲ PHỤ HÈ NĂM HỌC 2017 - 2018
Toggle navigation
TRANG CHỦ UTT
GIỚI THIỆU
Lịch sử- truyền thống
Sơ đồ cơ cấu tổ chức
Ban giám hiệu
Công đoàn
Đoàn TN- Hội SV
Giới thiệu logo
Đảng bộ
TIN TỨC
PHÒNG BAN
Phòng Đào tạo
Phòng KHCN - HTQT
Phòng Tổ chức cán bộ
Phòng Tài chính - Kế toán
Phòng Đảm bảo chất lượng đào tạo
Phòng Công tác Học sinh sinh viên
Ban xây dựng cơ bản
Phòng Thanh tra giáo dục
Phòng Đào tạo Sau đại học
KHOA - BỘ MÔN
Khoa Công trình
Khoa cơ khí
Khoa Kinh tế Vận tải
Khoa Công nghệ thông tin
Khoa Lý luận chính trị
Khoa Khoa học cơ bản
Khoa Cơ sở kỹ thuật
Khoa Đào tạo tại chức
Bộ môn Giáo dục thể chất
Bộ môn Giáo dục Quốc phòng - An Ninh
ĐÀO TẠO
THÔNG BÁO SINH VIÊN
HỢP TÁC
Hợp tác trong nước
Hợp tác quốc tế
LỊCH TUẦN
THỜI KHÓA BIỂU KỲ PHỤ HÈ NĂM HỌC 2017 - 2018
27/06/2018
File đính kèm
TKB_KY_PHU_HE_NAM_HOC_2017_2018.pdf
Tin liên quan
27/06/2018
THÔNG BÁO VỀ VIỆC NHẬN BẰNG TỐT NGHIỆP ĐẠI HỌC
27/06/2018
DANH SÁCH SINH VIÊN DỰ KIẾN ĐỦ ĐIỀU KIỆN TỐT NGHIỆP (THÁNG 7/2025)
27/06/2018
DANH SÁCH SINH VIÊN DỰ KIẾN ĐỦ ĐIỀU KIỆN TỐT NGHIỆP ( THÁNG 05/2025)
27/06/2018
Lịch thi KTHP Kỳ 2_2024_2025 (Nấc 1)
27/06/2018
THÔNG BÁO VỀ VIỆC NHẬN BẰNG TỐT NGHIỆP ĐẠI HỌC
27/06/2018
LỊCH THI VÒNG 2 - KỲ 1 - 2024_2025