Đề thi và Đáp án môn Toán kỳ thi tốt nghiệp THPT Quốc gia năm 2015
02435526713
tuvantuyensinh.utt@gmail.com
Đăng ký xét tuyển
Tuyển sinh
Đại học chính quy
Đề án/Thông tin tuyển sinh
Sau Đại học
Liên thông - VB2 - VHVL
Ngành đào tạo
Khối ngành Công trình - Xây dựng
CNKT Xây dựng cầu - đường bộ
CNKT Xây dựng Cầu - Đường sắt
Thanh tra và Quản lý công trình giao thông
Hạ tầng giao thông đô thị thông minh
Quản lý, khai thác và bảo trì đường cao tốc
Công nghệ kỹ thuật Đường sắt tốc độ cao
CNKT Công trình Xây dựng Dân dụng và Công nghiệp
Xây dựng và quản lý hạ tầng đô thị
Kiến trúc nội thất
Quản lý xây dựng
Quản lý và Điều hành vận tải đường sắt
Công nghệ kỹ thuật xây dựng Công trình thủy
Mô hình thông tin công trình (BIM) trong dự án Hạ tầng giao thông
CNKT Xây dựng Đường sắt và Metro
Khối ngành Cơ khí - Ô tô
Công nghệ kỹ thuật Ô tô
Công nghệ ô tô điện và ô tô hybrid
Cơ điện tử ô tô
Công nghệ ô tô và giao thông thông minh
Công nghệ kỹ thuật Cơ khí Tàu thủy và công trình nổi
Công nghệ chế tạo máy
Khối ngành Kinh tế, vận tải, logistics
Logistics và quản lý chuỗi cung ứng
Thương mại điện tử
Kế toán doanh nghiệp
Kinh tế xây dựng
Quản trị doanh nghiệp
Quản trị Marketing
Công nghệ tài chính
Logistics và Hạ tầng giao thông
Lữ hành và Du lịch
Tài chính ngân hàng
Kinh doanh quốc tế
Logistics và Vận tải đa phương thức
Khối ngành CNTT - Điện tử viễn thông
Công nghệ kỹ thuật cơ điện tử
Công nghệ thông tin
Hệ thống thông tin
Mạng máy tính và truyền thông dữ liệu
Công nghệ kỹ thuật điện tử - viễn thông
Trí tuệ nhân tạo và giao thông thông minh
An toàn dữ liệu và an ninh mạng
Công nghệ kỹ thuật Robot và Trí tuệ nhân tạo
Công nghệ kỹ thuật vi mạch bán dẫn
Công nghệ kỹ thuật Kỹ thuật vi điện tử và vật lý bán dẫn
Khối ngành CNKT môi trường
Khối ngành Luật - Ngôn ngữ Anh
Môi trường học tập
Cơ sở vật chất
Cơ hội việc làm
Hoạt động sinh viên
Điểm chuẩn các năm
Trang chủ
Đề thi và Đáp án môn Toán kỳ thi tốt nghiệp THPT Quốc gia năm 2015
Đề thi và Đáp án môn Toán kỳ thi tốt nghiệp THPT Quốc gia năm 2015
01-07-2015 00:00
Hướng dẫn Đại học
Chia sẻ
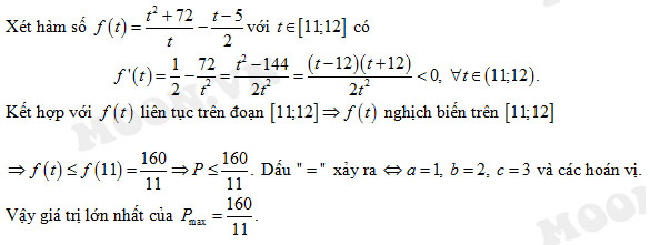
Đáp án gợi ý đề thi tốt nghiệp THPT Quốc gia môn Toán năm 2015
Nguồn: Đời sống phát luật
Thông tin tuyển sinh
Tuyển sinh Tiến sĩ
Tuyển sinh Thạc sĩ
Tuyển sinh Đại học
Kết quả tuyển sinh
Hợp tác đào tạo Quốc tế
Liên thông - Văn bằng 2
Chuyên mục
Tuyển sinh
Ngành đào tạo
Môi trường học tập
Điểm chuẩn các năm
Thông tin nổi bật